座機:027-87580888
手機:18971233215
傳真:027-87580883
郵箱:didareneng@163.com
地址: 武漢市洪山區魯磨路388號中國地質大學校內(武漢)
產業技術研究山東省陽信縣東部地區地熱地質特征及資源量評價
文章來源:地大熱能 發布作者: 發表時間:2024-09-14 10:20:39瀏覽次數:2861
地熱資源是儲存在地球內部的可再生熱能,具有對環境污染小、可就近利用的特點,是目前最受關注的清潔能源類型。魯北平原位于渤海灣盆地西南部,屬華北平原的一部分,是在華北地臺基礎上發展起來的中—新生代斷陷盆地,其地熱資源豐富,發育典型的沉積盆地型砂巖孔隙熱儲,屬傳導型地熱資源。陽信縣屬于魯北平原地熱田的一部分,熱儲層主要為新近系館陶組(N1g),其地熱勘查開發工作始于2005年,隨著地熱資源的開發利用和地質環境條件的逐步變化,以往獲取的地熱資源動態數據在時效性上已大不如前,不能正確地反映當前該縣地熱資源的實際情況;而且以往該縣開展的地熱勘查工作多集中在城區,因此縣域其他地區的館陶組熱儲層的地熱資源量還不清楚,嚴重制約了當地地熱產業的可持續發展。為進一步查明陽信縣地熱資源家底,以該縣東部地區為研究區,通過資料收集、地熱地質調查、大地電磁測深、地熱鉆探、產能測試、水質檢測分析等手段,查明研究區地熱地質條件、地溫場分布特征及地熱水水化學特征,建立熱儲概念模型并分區計算館陶組熱儲層的地熱資源量和地熱水可采量,提出地熱資源開發利用建議,以期為陽信縣地熱資源開發利用、當地地熱資源規劃管理等提供重要依據。
1 研究區概況
陽信縣地處魯北平原區之三角洲平原亞區,地形較平坦,地勢南高北低、西高東低,自西南部向東北部傾斜,形成了緩崗、微坡平地和淺平洼地相間的地貌。地面高程一般在5~13m,平均約9m,坡度為1/5000~1/10000。陽信縣地處中緯度地區,屬暖溫帶半濕潤大陸性季風氣候區,四季分明,多年平均氣溫為12.8℃,最冷月為1月,最熱月為7月。境內年降水量較少且不穩定、不均勻,歷年平均降水量為567.7mm,1月最少,為3.8 mm;7月最多,為191.6mm。境內排澇河道主要是南部的鉤盤河和北部的白楊河,兩河橫貫縣境東西,東流入海。在大地構造位置上,陽信縣主體位于惠民潛凹陷,北部邊緣為無棣潛凸起, 東部邊緣為沾化潛凹陷(圖1)。惠民潛凹陷處于濟陽坳陷中部,為中—新生代斷陷盆地。受斷陷盆地深部的地幔結構、巖漿活動和地殼淺部的地質構造、地層巖性、地下水活動等影響,區內具備良好的熱演化條件。山東省大地熱流值由西往東逐漸升高,表現出東高西低的分布規律。華北地區大地熱流值平均為47. 155 mW/ m2,而研究區所在區域的大地熱流值達到60 ~ 70 mW/m2,高于華北地區平均值,具備良好的大地熱流背景。館陶組上覆第四系平原組(Qpp)和新近系明化鎮組(N2m),下伏古近系東營組(E3d),巖性主要為砂巖、泥巖、砂礫巖,富水性強,具備較好的儲集空間,構成了區內最主要的孔隙—裂隙層狀熱儲層。
2.1 熱儲蓋層
研究區全區被第四系所覆蓋,館陶組上覆的平原組和明化鎮組屬于黏性土與砂性土組成的松軟層,沉積厚度為900~ 1 100 m,其巖性多為黏性土,結構致密,富水性差,巖性熱導率低,屬隔水層和隔熱層,為該區地熱成藏提供了良好的蓋層條件。
2.2 地熱源
研究表明,區域上地熱主要屬傳導型地熱,熱源為正常的大地熱流增溫。館陶組地層中發育良好的孔隙、裂隙空間,起到了導熱、導水作用。從區域水文地質條件來看,本區地熱水的補給來源很遠。地下水在水頭差和密度差的作用下,緩慢地進行循環交替運動,逐漸加熱并在館陶組孔隙—裂隙中存儲。總體上,區域上徑流條件較差,因此將地熱水視為靜態,可以不考慮其側向徑流補給和垂向越流補給。
2. 3 熱儲層
館陶組砂礫巖層為本區可供開發利用的最佳熱儲層,該套地層中砂礫成分多,孔隙度高,含水性好,形成了良好的孔隙—裂隙層狀熱儲。研究區館陶組頂面埋深在940 ~1 100 m,底面埋深在1 200 ~1 400 m,厚度為200 ~345 m,熱儲砂巖一般厚120 ~ 220 m;地層產狀平緩,研究區西南部底面埋深> 1 300 m,地層厚度>300 m;東北部底面埋深<1 200 m,地層厚約200 m(圖2)。
2. 4 地溫梯度
通過調查發現研究區恒溫帶深度約為20 m,平均地溫為14℃,20 m 以下為增溫帶。研究區現有6眼地熱井,取水層段均為館陶組,井口水溫為48 ~53℃。根據地熱井井口水溫、井深及恒溫帶深度,計算出區內地溫梯度為2. 93 ~ 3. 70℃ /100 m,平均為3. 50℃ /100 m,由南向北逐漸升高,全區均顯示明顯的地熱異常。
2. 5 地熱水水化學特征
根據水質分析結果, 研究區地熱水礦化度為6 476. 37 ~ 13 975. 68 mg/ L, 總硬度為534. 20 ~1 448. 26 mg/ L,pH 值為7. 2 ~ 8. 0。水中陰離子以Cl- 為主,含量為2 734 ~ 8 009 mg/ L,毫摩百分數為42% ~93. 86%;其次為SO2 -4 ,含量為596 ~ 1 368mg/ L,毫摩百分數為5. 16% ~ 25. 07%。陽離子以Na + 為主,含量為2 117 ~4 715 mg/ L,毫摩百分數為85. 94% ~89. 65%。TDS 含量為6 477. 64 ~13 997. 45mg/ L,屬于咸水—鹽水 。SiO2含量為15. 11 ~21. 77mg/ L,偏硅酸含量為19. 64 ~ 28. 30 mg/ L,Sr 含量為4. 65 ~42. 7 mg/ L,Li 含量為0. 42 ~ 1. 55 mg/ L,可作為理療礦泉水 。同時,水中的Fe、Mn、氯化物、硫酸鹽、TDS 等含量均超過了《生活飲用水衛生標準》(GB5749—2006),說明研究區館陶組地熱水不能作為生活飲用水。
2. 6 熱儲概念模型
根據前述地熱地質條件,參考前人地熱資源量計算方法,將不規則的多斷塊的地質形態,簡化為一個理想的幾何形態,并建立由熱儲蓋層、熱儲層、地熱源等組成的熱儲概念模型,具體如圖3 所示。
3 地熱資源量計算
3. 1 主要參數選擇
(1) 熱儲面積。熱儲面積按整個研究區面積515. 26 km2考慮,同時根據地熱地質條件和已有地熱井揭露的館陶組砂巖層厚度及地溫梯度,將研究區劃分為11 個分區(圖4),各分區面積為19. 05 ~ 67. 11km2不等。
(2) 熱儲層厚度。據區內鉆孔資料和物探資料,采用厚度近似加權平均值作為地熱資源量計算的熱儲層厚度,為125 ~225 m。
(3) 熱儲溫度。利用蓋層地溫梯度及厚度來推算館陶組的熱儲溫度,可知熱儲溫度為50. 0 ~59. 3℃,總體較集中。
(4) 巖石和水的物理參數。根據《地熱資源評價方法及估算規程》(DZ/ T 0331—2020)查得巖石密度、比熱容和地熱水比熱容,結果顯示本區館陶組熱儲巖石密度為2 600 kg/ m3,比熱容為878 J/ (kg·℃);地熱水比熱容取4 186. 8 J/ (kg·℃)。根據區內地熱井測井資料等推測巖石孔隙度,然后根據《地熱資源評價方法及估算規程》(DZ/ T 0331—2020)附錄插值求得地熱水密度,為983. 7 ~988. 0 kg/ m3。
(5) 熱儲層水頭高度。以區內地熱井水位標高的平均值作為本次計算的水頭標高,然后根據館陶組頂面標高計算熱儲層水頭高度,各分區水頭高度按近似加權平均取值,為889 ~1 069 m。
(6) 熱儲回收率。根據《地熱資源評價方法及估算規程》(DZ/ T 0331—2020)附錄B. 2. 3 中有關規定,館陶組熱儲回收率定為25%。
(7) 熱儲層水動力參數。根據本次抽水試驗資料及區域地質資料,確定熱儲層的滲透系數、給水度、彈性釋水系數取區內地熱井平均值,分別為1. 797 2 m/ d、0. 23、0. 000 21。
3. 2 計算結果
3. 2. 1 地熱資源量計算結果
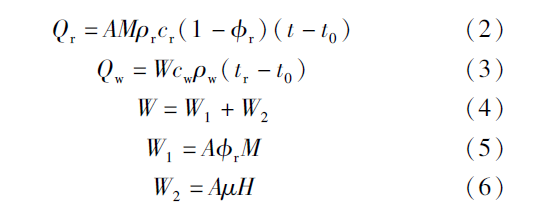
本文采用熱儲法計算熱儲中儲存的地熱資源量,計算公式如下:
式中:Q 為熱儲中儲存的總熱量;Qr 為巖石中儲存的熱量;Qw 為地熱水中儲存的熱量;A 為計算區面積;M為熱儲層厚度;ρr 為熱儲巖石密度;cr 為熱儲巖石比熱容;?r 為熱儲巖石孔隙度;t為熱儲溫度;t0為當地年平均氣溫,取12.8℃;W 為熱儲中儲存的水量;cw 為地熱水比熱容;ρw為地熱水密度;W1 為截止到計算時刻,熱儲孔隙中地熱水的靜儲量;W2 為水位降低到目前取水能力極限深度時,熱儲所釋放的水量(彈性儲量);μ 為熱儲層彈性釋水系數;H 為計算熱儲起始點以上高度。經計算,研究區館陶組熱儲層中的地熱資源總量為9. 677 3 ×1018 J,折合標準煤3. 302 0 ×108 t,其中巖石儲存熱量為5. 382 1 × 1018 J,地熱水儲存熱量為4. 295 2 ×1018 J。從館陶組各計算分區儲存的熱量分布可以看出,巖石儲存的熱量均比地熱水儲存的熱量多(圖5),巖石中儲存的熱量占熱儲總熱量的55.6%,是地熱水儲存熱量的1. 25 倍。
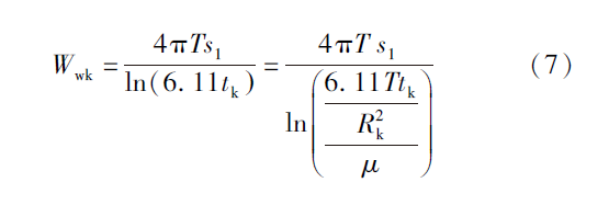
3. 2. 2 地熱水可采資源量計算
(1) 單井可采資源量。按照《地熱資源評價方法及估算規程》(DZ/ T 0331—2020)附錄C. 3. 2,求取計算區地熱水可開采量,計算公式為:


式中:Wwk為地熱水可開采資源量;T 為導水系數;s1 為計算區中心水位降深;tk 為開采時間;Rk 為開采半徑;Wwd為地熱水單井可采量;s2 為單井附加水位降深;Rd為單井控制半徑;r 為抽水井半徑。經計算,研究區中心水位降深與單井開采附加水位降深之和不大于100 m 的情況下,地熱水開采期限內(100 a)的可采量可達到2 171. 31 萬m3 / a,單井可采量為64. 66 萬m3 / a。可布井數計算及合理井距。可布井數計算公式為:
式中:N 為可布井數。
計算結果表明研究區可以布設33 眼地熱井。其合理井距為:
式中:R′為單井開采權益保護半徑。
按照單井開采權益保護面積為矩形進行計算,得出單井開采權益保護半徑為1 975 m,則合理井距為3 950 m。
4 地熱資源開發利用建議
通過本次調查可知,區內地熱水出口溫度為48 ~53℃,主要用于取暖。地熱水中富含對人體健康有益的Sr、Li 和偏硅酸等微量元素,具有一定的醫療價值,可作為洗浴和理療保健用水。同時地熱水礦化度及Cl- 含量較高,屬咸水,不宜直接排放,不能作為農田灌溉用水,但可以用于漁業養殖。區內地熱資源開發利用存在以下問題:①缺少地熱回灌井,未制定回灌方案,應及時制定“以灌定采”措施,并確保回灌質量;②利用方式單一,綜合利用程度較低,沒有形成地熱資源的梯級開發方式;③開采布局不合理,現有地熱井主要集中在城區范圍,開采時間段集中在采暖季節,在時間、空間上過于集中。針對上述問題,建議采取以下措施:①施工1 眼回灌井,利用地熱尾水回灌,在保證地熱資源可持續開發的同時,解決尾水排放問題;②對區內地熱資源采取梯級利用,以提高資源利用率;③加強地熱資源管理,及時調整開采布局,合理開采利用地熱資源,防止地熱資源過度開發利用。
5 結論
(1) 陽信地區地熱資源豐富,成因類型為熱傳導型,最佳熱儲層為新近系館陶組砂礫巖層,屬層狀孔隙—裂隙型熱儲,熱儲層頂面埋深940 ~ 1100 m,厚200 ~345 m,其中熱儲砂巖厚度為120 ~220 m。
(2) 通過地熱資源量評價,估算館陶組熱儲中地熱資源總量為9. 677 3 ×1018 J,折合標準煤3. 302 0 ×108 t;地熱水可開采量為2 171. 31 萬m3/ a,可布井33眼,合理井距為3 950 m。
上一篇 > 河南省濮陽市中深層地熱地質特征、資源儲量及開發利用適宜性評價
下一篇 > 陜西神禾塬地區地熱資源勘查及評價








